Websites and locations

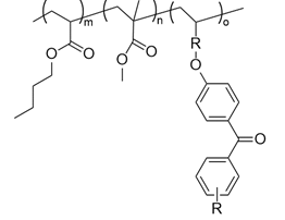
Acrylic co-polymers can be incorporated into UV resins to enhance a variety of coating properties such as adhesion, flexibility and toughness. In addition to customizing the co-polymer backbone to target specific properties, one can also graft photo-reactive species onto the co-polymer in order to make a self-reacting resin. These systems would provide comparable reactivity and performance to traditional UV/EB formulations, while lowering the risk of extractables in the final product.

Reactive acrylic copolymers for use in low extractable coatings

Self-Reactive copolymer resins are acrylic copolymers which contain photocurable functionality on their backbone. These reactive acrylic copolymers can eliminate extractables (low migration) and odor related to traditional photoinitiators. They allow for simplified processing by eliminating the need to dissolve traditional photoinitiators into resin. They can also be used as their own curable films or be formulated to function as polymeric photoinitiators. 

 

Performance attributes

  • Requires no added photoinitiator
  • Copolymers can provide a solution to applications where low shrinkage and adhesion are desirable
  • Acrylic backbone has good compatibility with acrylate monomers/oligomers
  • Customizable performance based on monomer choice
  • High molecular weight of copolymer further contributes to low migration

Technical Bulletin Summary

  • Acrylic copolymer design
  • Reactive acrylic copolymer for adhesion
  • Reactive acrylic copolymer for stain resistance 

DOWNLOAD THE TECHNICAL BULLETIN

Conclusions and future work

Our new reactive acrylic copolymers are designed to provide the bulk of a coating’s properties since they will be used as a major component in the formulation. We found that different co-monomers can be used to target a specific property. DB conversion via FTIR shows high levels of conversion across all samples, showing that grafting the chromophore onto the copolymer backbone does not inhibit reactivity. These reactive resins can easily be made without chromophore for non-UV/LED applications.

CONTACT US TO LEARN MORE

See also

Back to all articles
  • Expertise articles
Conformal coatings: Sartomer® materials for targeted performance
Oct 11, 2023
  • Case Study
Efficient manufacturing of lightweight composite designs
May 22, 2023
  • Case Study
3D-printed masks for electroplating in aerospace applications
Nov 9, 2024
Top