Websites and locations
  • Product

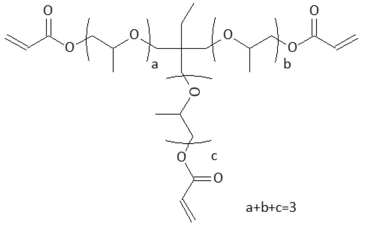
SR492 NS

Propoxylated (3) Trimethylolpropane Triacrylate
#CAS 53879-54-2
Product overview
SR492 NS, 3 mole propoxylated trimethylolpropane triacrylate, is a low skin irritation, fast curing monomer for use in free radical polymerization.
Geographic availability
  • Asia Pacific
  • Oceania
Top