Websites and locations
  • Product

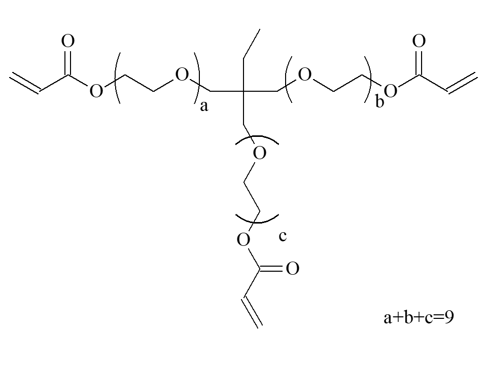
SR502 NS

Ethoxylated (9) Trimethylolpropane Triacrylate
#CAS 28961-43-5
Product overview
SR502 NS, 9 mole ethoxylated trimethylolpropane triacrylate, is a low skin irritation, fast curing monomer for use in free radical polymerization.
Geographic availability
  • Asia Pacific
  • Oceania
Top