Websites and locations
  • Product

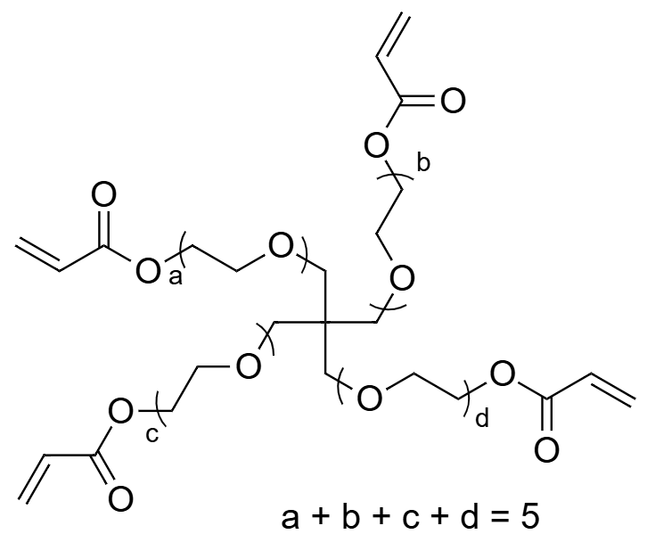
LM5402 EU

Low Migratable Alkoxylated Pentaerythritol Tetraacrylate
#CAS Proprietary
Product overview
LM5402 is a tetrafunctional acrylic monomer for use in UV/LED and EB curing applications.
Geographic availability
    Worldwide
Reduced risk of migration
Top