UV-Stabilizers
🔍 Find UV/LED/EB curing & advanced materials
These additives offer a number of formulation benefits including:
- Long term UV protection
-
High temperature resistance
-
Light stability
-
Enhanced film formation and appearance
SpeedBlock additives: explore the range
Product code |
CAS# |
Structure |
|---|---|---|
|
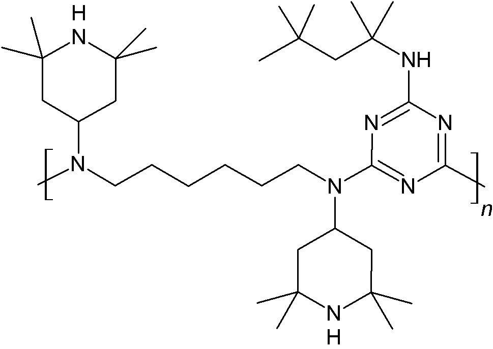
SpeedBlock 622 |
65447-77-0 |
|
|
SpeedBlock 770 |
52829-07-9 |
|
|
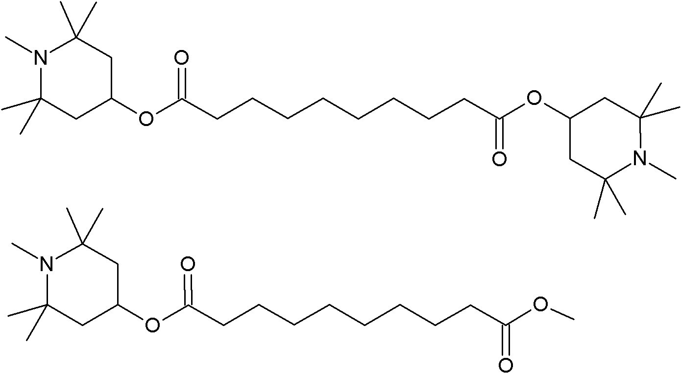
SpeedBlock 944 |
70624-18-9 |
|
|
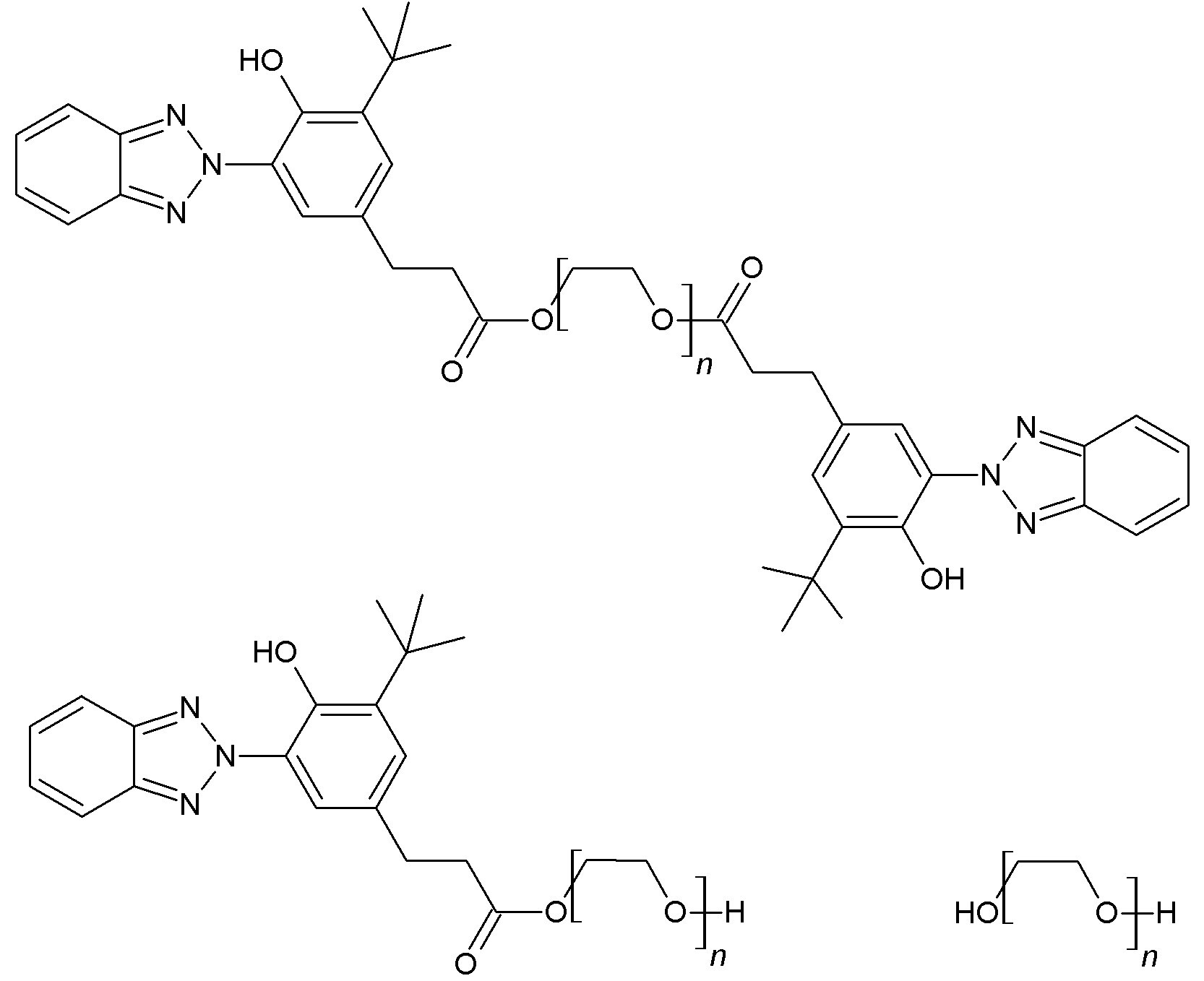
SpeedBlock UV-92 |
1065336-91-5 |
|
Product code |
CAS# |
Structure |
|---|---|---|
|
SpeedBlock 1130 |
104810-48-2 104810-47-1 25322-68-3 |
|
|
SpeedBlock UV-0 |
131-56-6 |
|
|
SpeedBlock UV-6 |
1843-05-6 |
|
|
SpeedBlock UV-9 |
131-57-7 | ![]() |
Product code |
CAS# |
Structure |
|---|---|---|
|
SpeedBlock AO1 |
6683-19-8 |
|
Product code |
CAS# |
Structure |
|---|---|---|
|
SpeedBlock OB-184 |
7128-64-5 |
|
|
SpeedBlock DP74 |
91-44-1 |
|









